



Mario Merz (1984)
In der Natur finden wir bei der Anzahl der Blütenblätter vieler Blumen sowie vor allem bei der Blattstellung (=Phyllotaxis) von Pflanzen ein Wiedersehen mit den Fibonacci-Zahlen, die hier bei den Umläufen der Blattspiralen auftreten. Blätter sprießen im Allgemeinen spiralförmig aus dem einzelnen Zweig oder Stamm. Wer sie zählt, muss deshalb den Zweig ein paar mal umrunden. Wann steht wieder ein Blatt über dem ersten Blatt? Die Anzahl dieser Umrundungen geteilt durch die Zahl der Blätter ergibt das phyllotaktische Maß, einen Bruch, dessen Zähler und Nenner bei fast allen Pflanzen Fibonacci-Zahlen sind.
Beispiel für eine 2/5 PhyllotaxisMehr noch: Stets sind es solche, die in der Fibonacci-Folge durch genau eine Zahl voneinander getrennt sind. Die Phyllotaxie des Birnbaums beträgt 3/8 (3 Umläufe für 8 Blätter): zwischen 3 und 8 liegt 5. Bei der Weide sind es 5/13 - zwischen 5 und 13 liegt 8. Phyllotaxien von 13/34, 21/55 und noch höheren Werten finden wir oft an kurzstämmigen Pflanzen.
Goldene Schnittzahl wird so konstruiert:



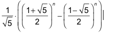
Im Jahre 1843 fand der französische Mathematiker Binet eine explizite Formel für die Fibonacci-Zahlen:
Es gibt heutzutage kaum einen Bereich, in dem die Fibonacci-Zahlen bzw. die Goldene Schnittzahl nicht in irgendeiner Form auftreten, auch in Bereichen, wo man sie nicht vermuten würde, beispielsweise im Aktienhandel. Nach einer Wellentheorie von R.N.Elliott folgt in der Regel einem Anstieg der Aktienkurse in 5 ansteigenden Wellen ein nachfolgender Abstieg in 3 Wellen. So ein kompletter Zyklus besteht also aus 8 Wellen:

Ferner ergibt sich das Minimum-Kursziel für die Prognose des Endpunkts von Welle 3 aus der Multiplikation der Länge der Welle 1 mit dem Faktor 1,618 (!) und anschließender Addition dieser Strecke zum Tiefpunkt der Welle 2.
Elliotts Theorie postuliert eine gewisse Proportionalität zwischen den einzelnen Wellen und gestattet so die Bestimmung von Kurszielen mittels bestimmter Fibonacci-Ratios. Es hat sich gezeigt, dass Aktienmärkte normalerweise vorangegangene Bewegungen um gewisse Prozentsätze korrigieren, sog. Retracements. Am bekanntesten sind die Fibonacci-Retracements mit den horizontalen Niveaus 62% ( =1,618 - 1), 50% und 38% - bei der Untersuchung von Kurs-Charts über einen längeren Zeitraum hinweg!

,