Startseite
Ebelu
HfT-Tutorium
HfT-Klausuren
HfT-Lösungen
Lös. WS03/04
Lös. SS04.1
Lös. SS04.2
Lös. SS05.1
Lös. SS05.2
Lös.WS05.1
Lös. WS05.2
Lös. SS06.1
Lös. SS06.2
Lös. WS06.1
Lös. WS06.2
Lös. SS07.1
Lös. SS07.2
Lös. WS 07/08
Lös. SS08
Lös. SS09
Lös. WS 09/10.1
Lös. SS10.1
Lös. SS10.2
Lös. WS10.1
Lös. WS10.2
Lös. SS11
Lös. WS11.1
Lös. WS11.2
Lös. SS12
Lös. WS12.1
Lös. SS13.1
Lös. SS13.2
Lös. WS13.1
Lös. WS13.2
Lös. SS14.2
Lös. WS14.1
Lös. WS14.2
Lös. SS15.1
Lös. SS15.2
Lös. WS15.1
Lös. WS15.2
Lös. SS16.1
Lös. SS16.2
Mathe-Nachhilfe
Kontaktaufnahme
Impressum
Herbert Horak
"Mathematics is no spectators sport!"
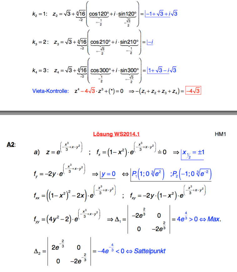
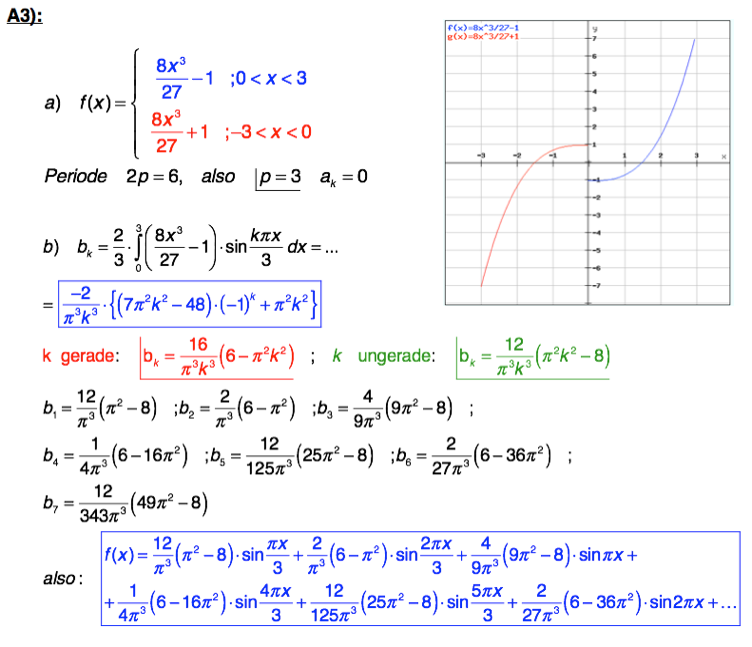
Lösungsblatt WS14.1
Startseite
>
HfT-Lösungen
>
Lös. WS14.1
>